模拟通信系统
调制定义
用调制信号去控制载波参数,
把信号转换成适合在信道中
传输的形式的过程。
调制目的
- 把调制信号转换成适合在信道中传输的已调信号。
- 实现信道的多路复用,提高信道利用率。
- 改善系统抗噪声性能。
线性调制
定义:调信号频谱只是调制信号频谱的简单搬移,频谱形状保持不变。(如AM、DSB、SSB、VSB、MASK、MPSK、MFSK、QAM、MSK、GMSK等)
滤波法

适当选择便可得到各种幅度调制信号,如即为全通网络。
移相法

\begin{equation} \begin{split} s_{m}(t)&=s_{I}(t) \cos \omega_{c} t+s_{Q}(t) \sin \omega_{c} t \\ s_{I}(t)&=h_{I}(t) * m(t) \\ s_{Q}(t)&= h_{Q}(t) * m(t) \\ h_{I}(t) &=h(t) \cos \omega_{c} t \\ h_{Q}(t) &=h(t) \sin \omega_{c} t \end{split} \nonumber \end{equation}
表示同向分量,表示正交分量
非线性调制
已调信号频谱不再是只是调制信号频谱的简单搬移,而是频谱的非线性变换(如FM、PM)
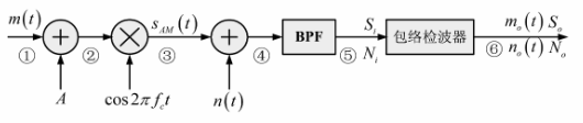
AM系统
AM系统的调制解调原理及抗噪声性能:



相干解调



包络解调


DSB和SSB系统抗噪声性能比较

FM系统

预加重与去加重
由宽带调频系统鉴频器输出噪声谱密度呈抛物线形状可知,解调器输出噪声随调制信号频率升高而增强,而调制信号的幅度随频率升高而减小,因此,解调器恢复的信号在高频部分信噪比变差。为提高恢复信号在高频部分的信噪比,常采用“预加重”和“去加重”技术,在保持恢复信号高频部分功率不变的条件下,减小噪声的平均功率,从而改善高频部分的输出信噪比。

模拟调制系统性能比较

FDM及其带宽的计算
- 优点:是信道复用率高,容许复用的路数多,分路也很方便。因此,它成为目前模拟通信中最主要的一种复用方式。
- 缺点:设备生产比较复杂,会因滤波器件特性不够理想和信道内存在非线性而产生路间干扰。